大学入学共通テスト(理科) 過去問
令和4年度(2022年度)追・再試験
問98 (化学(第1問) 問5)
問題文
次の問いに答えよ。
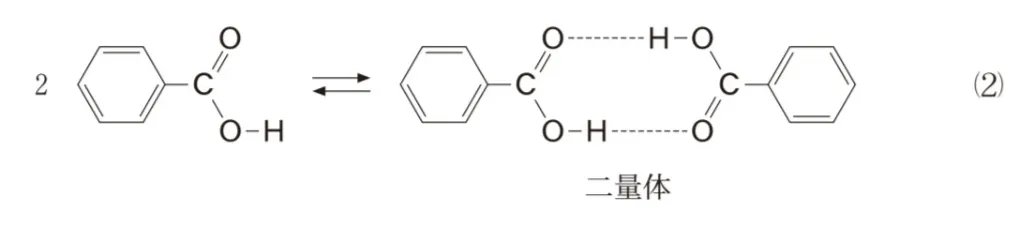
ある溶媒Aに溶解した安息香酸(分子式C7H6O2,分子量122)は、その一部が水素結合により会合して二量体を形成し、式(2)の化学平衡が成り立つ。
一方、溶媒Aに溶解したナフタレン(分子式C10H8,分子量128)は、カルボキシ基をもたないので、このような二量体を形成しない。
安息香酸による凝固点降下では、二量体は1個の溶質粒子としてふるまう。
そのため、ナフタレンによる凝固点降下と比較することで、二量体を形成する安息香酸の割合を知ることができる。
c 式(2)の平衡状態において、二量体を形成していない安息香酸分子の数mに対する二量体の数nの比n/mを、式(3)のβを用いて表すとき、最も適当なものを、次の選択肢のうちから一つ選べ。
β=二量体を形成している安息香酸の物質量/溶液に含まれる安息香酸の全物質量 (3)
このページは閲覧用ページです。
履歴を残すには、 「新しく出題する(ここをクリック)」 をご利用ください。
問題
大学入学共通テスト(理科)試験 令和4年度(2022年度)追・再試験 問98(化学(第1問) 問5) (訂正依頼・報告はこちら)
次の問いに答えよ。
ある溶媒Aに溶解した安息香酸(分子式C7H6O2,分子量122)は、その一部が水素結合により会合して二量体を形成し、式(2)の化学平衡が成り立つ。
一方、溶媒Aに溶解したナフタレン(分子式C10H8,分子量128)は、カルボキシ基をもたないので、このような二量体を形成しない。
安息香酸による凝固点降下では、二量体は1個の溶質粒子としてふるまう。
そのため、ナフタレンによる凝固点降下と比較することで、二量体を形成する安息香酸の割合を知ることができる。
c 式(2)の平衡状態において、二量体を形成していない安息香酸分子の数mに対する二量体の数nの比n/mを、式(3)のβを用いて表すとき、最も適当なものを、次の選択肢のうちから一つ選べ。
β=二量体を形成している安息香酸の物質量/溶液に含まれる安息香酸の全物質量 (3)
- 2β/(1-β)
- β/(1-β)
- β/2(1-β)
- (1-β)/β
- β/2
正解!素晴らしいです
残念...
この過去問の解説 (3件)
01
溶液に含まれる安息香酸の全物質量を1とすると、
二量体を形成している安息香酸の物質量がβとなるので、
二量体はβ/2できることになります(二分子が会合するため)。
n=β/2
また二量体を形成していない安息香酸は1–βなので、
m=1–β
なので
n/m=β/2(1–β)
が正答となります。
全体を1としておいてみるなど工夫をしてみましょう。
参考になった数1
この解説の修正を提案する
02
二量体になっているものとなっていないものを
物質量と分子数の2つの視点で表すことが必要です。
以下の表は安息香酸の二量体になっているのもと
いないものの内訳を表した表です。
比を求める問題では値を任意に設定してよく、
この問題では分かりいやすく総量を
1molと仮定しています。
(3)式から
二量体になっている量はβ mol、
二量体になっていない量は1-β mol
と計算されます。
続いて求めた値に
アボガドロ定数NAをかけることで、
分子数への換算を行います。
二量体になっている分子数は βNA個、
二量体になっていない分子数は1-βNA個
と計算されます。
それらの値を用いて
二量体を形成していない安息香酸分子の数m
と二量体の数nを求めます。
まず、二量体を形成していない安息香酸分子の数mは
m=1-β NA・・・①
と表されます。
また、二量体になっていない分子数 1-βNA個は
二量体の数nを用いて以下の式で表されます。
β・NA=2n
これは、1個の二量体に2個の分子が
含まれているためです。
つまり、二量体の個数nは
n=β・NA/2・・・②
と表されます。
①と②から
n/m=β/2(1ーβ)
となります。
参考になった数0
この解説の修正を提案する
03
二量体を形成している安息香酸の物質量は溶液に含まれる安息香酸の全物質量を1とすると、n=β/2と表すことができます。
一方で二量体を形成していない安息香酸分子の数は1-βなので、m=1-βとなります。
以上のことからn/m=β/2(1ーβ)
となることが分かります。
参考になった数0
この解説の修正を提案する
前の問題(問97)へ
令和4年度(2022年度)追・再試験 問題一覧
次の問題(問99)へ