大学入学共通テスト(理科) 過去問
令和5年度(2023年度)追・再試験
問105 (化学(第4問) 問6)

このページは閲覧用ページです。
履歴を残すには、 「新しく出題する(ここをクリック)」 をご利用ください。

問題

大学入学共通テスト(理科)試験 令和5年度(2023年度)追・再試験 問105(化学(第4問) 問6) (訂正依頼・報告はこちら)

酸素を含む有機化合物に関する次の問いに答えよ。

1価アルコールCは不斉炭素原子をもち、シス-トランス異性体は存在しない。Cのすべての二重結合に、触媒を用いて水素を付加させた。得られたアルコールは、硫酸酸性の二クロム酸カリウム水溶液と加熱しても、酸化されなかった。Cの構造式として最も適当なものを、次の選択肢のうちから一つ選べ。
  • 解答選択肢の画像
  • 解答選択肢の画像
  • 解答選択肢の画像
  • 解答選択肢の画像

次の問題へ

正解!素晴らしいです

残念...

この過去問の解説 (2件)

01

不斉炭素原子とは異なる4個の原子または原子団が結合した炭素原子のことです。

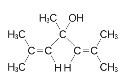
選択肢1. 解答選択肢の画像

正しい

 

不斉炭素原子を持ちます。

またシスートランス異性体が存在しません。

さらに硫酸酸性の二クロム酸カリウム水溶液と加熱しても酸化されません。

選択肢2. 解答選択肢の画像

誤り

 

不斉炭素原子を持ちます。

またシスートランス異性体が存在しません。

しかし硫酸酸性の二クロム酸カリウム水溶液と加熱すると酸化されます。

選択肢3. 解答選択肢の画像

誤り

 

不斉炭素原子を持ちません。

選択肢4. 解答選択肢の画像

誤り

 

不斉炭素原子を持ちます。

しかしシスートランス異性体が存在します。

参考になった数0

02

有機化合物の構造を予想する問題です。

選択肢1. 解答選択肢の画像

正解です。

不斉炭素原子を持ち、シス-トランス異性体がありません。

水素付加後、酸化しやすい部分もありません。

 

選択肢2. 解答選択肢の画像

誤りです。

不斉炭素原子を持ち、シス-トランス異性体がありません。

しかし、2級アルコール部分があり、酸化してケトンになります。

 

選択肢3. 解答選択肢の画像

誤りです。

不斉炭素原子がありません。

シス-トランス異性体はなく、水素付加後、酸化しやすい部分はありません。

選択肢4. 解答選択肢の画像

誤りです。

シス-トランス異性体があります。

不斉炭素原子はあり、水素付加後、酸化しやすい部分はありません。

参考になった数0