大学入学共通テスト(理科) 過去問
令和5年度(2023年度)追・再試験
問107 (化学(第5問) 問2)
問題文
(a)モノマー間の共有結合だけで網目状の立体構造をつくっている高分子や、架橋構造(橋かけ構造)により網目状の立体構造をつくっている高分子は、機能性高分子などとして身のまわりで多く利用されている。(b)ポリアクリル酸ナトリウムに架橋構造をもたせ、網目状の立体構造となった高分子は、高吸水性樹脂(吸水性高分子)として利用されている。この高吸水性樹脂内部には電離する官能基―COONaが存在する。(c)高吸水性樹脂を水に浸すと、水分子が樹脂の中に吸収され、樹脂の内側と外側でイオン濃度が異なるため浸透圧が生じる。すると水分子がさらに吸収され、網目が広がって図1のように樹脂が膨らむが、分子鎖が共有結合で架橋されているため、樹脂内に一定量の水が保持された状態で吸水がとまる。浸透圧については、希薄溶液では一般にファントホッフの法則が成り立つ。(d)ファントホッフの法則を用いると、浸透圧や溶質の分子量を決定することができる。
下線部(b)に関して、架橋構造をもつポリアクリル酸ナトリウムは、アクリル酸ナトリウムCH2=CHCOONaを付加重合させる際に、少量の他のモノマーと共重合させることにより得られる。このとき架橋構造をもたせるために共重合させるモノマーとして最も適当なものを、次の選択肢のうちから一つ選べ。
このページは閲覧用ページです。
履歴を残すには、 「新しく出題する(ここをクリック)」 をご利用ください。
問題
大学入学共通テスト(理科)試験 令和5年度(2023年度)追・再試験 問107(化学(第5問) 問2) (訂正依頼・報告はこちら)
(a)モノマー間の共有結合だけで網目状の立体構造をつくっている高分子や、架橋構造(橋かけ構造)により網目状の立体構造をつくっている高分子は、機能性高分子などとして身のまわりで多く利用されている。(b)ポリアクリル酸ナトリウムに架橋構造をもたせ、網目状の立体構造となった高分子は、高吸水性樹脂(吸水性高分子)として利用されている。この高吸水性樹脂内部には電離する官能基―COONaが存在する。(c)高吸水性樹脂を水に浸すと、水分子が樹脂の中に吸収され、樹脂の内側と外側でイオン濃度が異なるため浸透圧が生じる。すると水分子がさらに吸収され、網目が広がって図1のように樹脂が膨らむが、分子鎖が共有結合で架橋されているため、樹脂内に一定量の水が保持された状態で吸水がとまる。浸透圧については、希薄溶液では一般にファントホッフの法則が成り立つ。(d)ファントホッフの法則を用いると、浸透圧や溶質の分子量を決定することができる。
下線部(b)に関して、架橋構造をもつポリアクリル酸ナトリウムは、アクリル酸ナトリウムCH2=CHCOONaを付加重合させる際に、少量の他のモノマーと共重合させることにより得られる。このとき架橋構造をもたせるために共重合させるモノマーとして最も適当なものを、次の選択肢のうちから一つ選べ。
正解!素晴らしいです
残念...
この過去問の解説 (2件)
01
付加重合させて、同一分子内に複数の二重結合が存在しなければ架橋構造にはなりません。
誤り
二重結合が1ケ所しかありません。
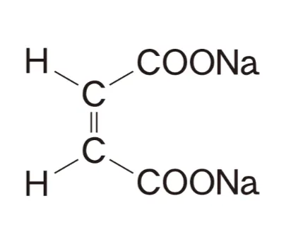
正しい
二重結合が2ケ所あります。
誤り
二重結合が1ケ所しかありません。
誤り
二重結合が1ケ所しかありません。
参考になった数0
この解説の修正を提案する
02
架橋構造を持たせるために使用するモノマー(架橋剤)についての問題です。
架橋剤は2つ以上の反応点(今回で言う二重結合)を持ち、それぞれが反応して架橋を形成します。
誤りです。
二重結合が1か所です。
正しいです。
二重結合が2か所あります。
誤りです。
二重結合が1か所です。
誤りです。
二重結合が1か所です。
参考になった数0
この解説の修正を提案する
前の問題(問106)へ
令和5年度(2023年度)追・再試験 問題一覧
次の問題(問108)へ