大学入学共通テスト(理科) 過去問
令和4年度(2022年度)本試験
問112 (化学(第4問) 問4(b))
問題文
必要があれば,原子量は次の値を使うこと。
H 1.0 C 12 N 14 O 16 Na 23 S 32 Cl 35.5 Ca 40
気体は、実在気体とことわりがない限り、理想気体として扱うものとする。
カルボン酸を適当な試薬を用いて還元すると、第一級アルコールが生成することが知られている。カルボキシ基を2個もつジカルボン酸(2価カルボン酸)の還元反応に関する次の問いに答えよ。
示性式HOOC(CH2)2COOHのジカルボン酸を試薬Xで還元すると、炭素原子を4個もつ化合物Yが反応の途中に生成した。Yは銀鏡反応を示さず、NaHCO3水溶液を加えてもCO2を生じなかった。また、86mgのYを完全燃焼させると、CO2176mgとH2O54mgが生成した。Yの構造式として最も適当なものを、次の選択肢のうちから一つ選べ。
このページは閲覧用ページです。
履歴を残すには、 「新しく出題する(ここをクリック)」 をご利用ください。
問題
大学入学共通テスト(理科)試験 令和4年度(2022年度)本試験 問112(化学(第4問) 問4(b)) (訂正依頼・報告はこちら)
必要があれば,原子量は次の値を使うこと。
H 1.0 C 12 N 14 O 16 Na 23 S 32 Cl 35.5 Ca 40
気体は、実在気体とことわりがない限り、理想気体として扱うものとする。
カルボン酸を適当な試薬を用いて還元すると、第一級アルコールが生成することが知られている。カルボキシ基を2個もつジカルボン酸(2価カルボン酸)の還元反応に関する次の問いに答えよ。
示性式HOOC(CH2)2COOHのジカルボン酸を試薬Xで還元すると、炭素原子を4個もつ化合物Yが反応の途中に生成した。Yは銀鏡反応を示さず、NaHCO3水溶液を加えてもCO2を生じなかった。また、86mgのYを完全燃焼させると、CO2176mgとH2O54mgが生成した。Yの構造式として最も適当なものを、次の選択肢のうちから一つ選べ。
- OHC-(CH2)2-CHO
- HO-(CH2)3-COOH
- CH2=CH-CH2-COOH
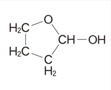
-
-
-
正解!素晴らしいです
残念...
この過去問の解説 (2件)
01
構造決定の問題です。
問題文の条件から絞り込むことで見つけます。
また、元素分析の値より、組成式がC2H3Oと分かります。
Yが銀鏡反応を示さないことより、-CHOを含まないことが分かります。
炭酸水素ナトリウムと反応していないので違います。
炭酸水素ナトリウムと反応していないので違います。
この選択肢が正解です。
参考になった数0
この解説の修正を提案する
02
構造式を決定する問題です。
●問題文に“Yは銀鏡反応を示さなかった”と書いてあります。
銀鏡反応:アンモニア性硝酸銀水溶液にアルデヒドを加えて加熱すると
還元作用のあるアルデヒドによってAg+がAgになり
鏡のような見た目の銀が析出する。
よって、Yはアルデヒド基(-CHO)を持たないことが分かります。
●次に“YにNaHCO3水溶液を加えてもCO2を生じなかった”とあります。
Yがカルボキシル基を持っていれば、下式のようにNaHCO3と中和反応を起こし
CO2を生成するはずです。
CH3COOH +NaHCO3→CH3COONa+CO2+H2O
よって、Yはカルボキシル基(-COOH)を持たないことが分かります。
●ここで選択肢は3つに絞られました。
“86mgのYを完全燃焼させると、CO2176mgとH2O54mgが生成する”
が残されたヒントとなりました。
3種類の化合物の燃焼反応式を書き、条件が一致する選択肢を探します。
また、3種類の化合物の分子量も計算する必要があります。
ⓐC4H4O3(分子量100)+7/2O2→4CO2+2H2O
ⓑC4H6O2(分子量86)+9/2O2→4CO2+3H2O
ⒸC4H8O2(分子量88)+5O2→4CO2+4H2O
このうちⓑはYが1mol(88g)燃焼した時4molのCO2(176g)、3molのH2O(54g)
が生成するため条件に一致します。
参考になった数0
この解説の修正を提案する
前の問題(問111)へ
令和4年度(2022年度)本試験 問題一覧
次の問題(問113)へ