大学入学共通テスト(理科) 過去問
令和6年度(2024年度)本試験
問110 (化学(第4問) 問6)
問題文
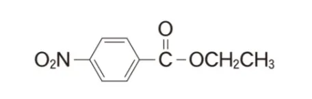
p−アミノ安息香酸エチルは局所麻酔薬として用いられる合成医薬品である。図5にトルエンから化合物A、B、Cを経由して合成する経路を示す。化合物Bとして最も適当なものを、後の選択肢のうちから一つ選べ。
このページは閲覧用ページです。
履歴を残すには、 「新しく出題する(ここをクリック)」 をご利用ください。
問題
大学入学共通テスト(理科)試験 令和6年度(2024年度)本試験 問110(化学(第4問) 問6) (訂正依頼・報告はこちら)
p−アミノ安息香酸エチルは局所麻酔薬として用いられる合成医薬品である。図5にトルエンから化合物A、B、Cを経由して合成する経路を示す。化合物Bとして最も適当なものを、後の選択肢のうちから一つ選べ。
正解!素晴らしいです
残念...
この過去問の解説 (2件)
01
トルエンに濃HNO3と濃H2SO4を加えるとニトロ化することで、
ニトロトルエン(C6H4(CH3)(NO2)、トルエンにNO2が結びついたものです。選択肢にもあります。 )となります。
ニトロトルエンにKMnO4を加えることで酸化するとニトロ安息香酸が生成されます。
この選択肢が正解となります。
参考になった数0
この解説の修正を提案する
02
トルエンに濃硝酸と濃硫酸を加えることで、ニトロ化します。
つづいて、ニトロトルエンに過マンガン酸カリウム(強酸化剤)を加えると、
ニトロ安息香酸が生じます。ニトロ基はこれ以上酸化されません。
ニトロ安息香酸にスズと塩酸を加えると、
アミノ安息香酸を生じます。
アミノ安息香酸エタノールを加えることで、目的物を得ます。
参考になった数0
この解説の修正を提案する
前の問題(問109)へ
令和6年度(2024年度)本試験 問題一覧
次の問題(問111)へ